欢迎来到杭州大海生物医药有限公司官网!我们专业从事医药原料、医药中间体、精细化工及生化试剂等高新技术产品开发、销售和自营进出口融于一体的现代化民营企业。
服务热线:18906514933
杭州大海生物医药有限公司
专业医药原料、中间体及精细化工产品供应商
首页
公司简介
产品展示
企业风貌
在线下单
公司动态
联系我们
杭州大海生物医药有限公司
首页
公司简介
产品展示
企业风貌
在线下单
公司动态
联系我们
产品详情
了解我们的高质量产品
产品搜索
如果产品没有找到,我们也许可以为您定制,请发邮件到
[email protected]
告诉我们您的需求信息。
产品分类
全部产品
医药原料
医药中间体
精细化工
生化试剂
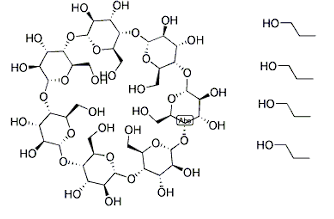
羟丙基-B-环糊精
在线下单
联系我们
产品描述
英文名:
Hydroxypropyl Beta-Cyclodextrin (HP-β-CD)
中文名:
羟丙基-B-环糊精
CAS No:
94035-02-6
产品介绍:
主要用于研制、实验、工业生产
分子结构式: